Homepage Fill in Your Texas residential property affidavit T-47 Template
Table of Contents

The Texas residential property affidavit T-47 form plays a crucial role in real estate transactions within the state, ensuring that the legal principles of property ownership and disclosures are upheld. This form is typically associated with the transfer of property, most commonly used during the closing process. It serves as a declaration from the seller regarding the status of the property, providing essential details about any improvements, encroachments, or boundary issues that may impact the sale. Buyers rely on the information disclosed in a T-47 form to make informed decisions, while lenders often require it as part of their due diligence. Understanding the nuances of the T-47 is vital for both buyers and sellers, as its accurate completion can facilitate a smoother transaction and help avoid potential legal disputes. It reinforces transparency and trust in the real estate process, allowing all parties involved to have a clearer picture of the property’s condition and history.

Sample - Texas residential property affidavit T-47 Form

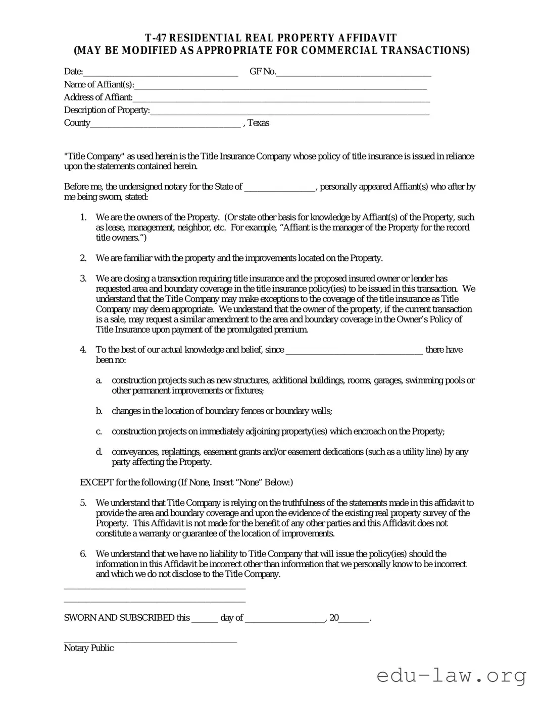
T-47 RESIDENTIAL REAL PROPERTY AFFIDAVIT

(MAY BE MODIFIED AS APPROPRIATE FOR COMMERCIAL TRANSACTIONS)

Date:___________________________________ GF No.___________________________________

Name of Affiant(s):__________________________________________________________________

Address of Affiant:___________________________________________________________________

Description of Property:_______________________________________________________________

County__________________________________ , Texas

"Title Company" as used herein is the Title Insurance Company whose policy of title insurance is issued in reliance upon the statements contained herein.

Before me, the undersigned notary for the State of ________________, personally appeared Affiant(s) who after by

me being sworn, stated:

1.We are the owners of the Property. (Or state other basis for knowledge by Affiant(s) of the Property, such as lease, management, neighbor, etc. For example, “Affiant is the manager of the Property for the record title owners.”)

2.We are familiar with the property and the improvements located on the Property.

3.We are closing a transaction requiring title insurance and the proposed insured owner or lender has requested area and boundary coverage in the title insurance policy(ies) to be issued in this transaction. We understand that the Title Company may make exceptions to the coverage of the title insurance as Title Company may deem appropriate. We understand that the owner of the property, if the current transaction is a sale, may request a similar amendment to the area and boundary coverage in the Owner’s Policy of Title Insurance upon payment of the promulgated premium.

4.To the best of our actual knowledge and belief, since _______________________________ there have been no:

a.construction projects such as new structures, additional buildings, rooms, garages, swimming pools or other permanent improvements or fixtures;

b.changes in the location of boundary fences or boundary walls;

c.construction projects on immediately adjoining property(ies) which encroach on the Property;

d.conveyances, replattings, easement grants and/or easement dedications (such as a utility line) by any party affecting the Property.

EXCEPT for the following (If None, Insert “None” Below:)

5.We understand that Title Company is relying on the truthfulness of the statements made in this affidavit to provide the area and boundary coverage and upon the evidence of the existing real property survey of the Property. This Affidavit is not made for the benefit of any other parties and this Affidavit does not constitute a warranty or guarantee of the location of improvements.

6.We understand that we have no liability to Title Company that will issue the policy(ies) should the

information in this Affidavit be incorrect other than information that we personally know to be incorrect and which we do not disclose to the Title Company.

_________________________________________

_________________________________________

SWORN AND SUBSCRIBED this ______ day of __________________, 20_______.

_______________________________________

Notary Public

File Specs

Fact Name Description
Purpose The T-47 form serves as an affidavit for property owners to clarify boundary lines and existing exceptions as part of a residential property transaction.
Governing Law The T-47 affidavit is used in accordance with Texas property law, specifically Texas Property Code Sections 12.001 and 12.003.
Required Information Homeowners must provide details about their property, including legal description, street address, and signatures of involved parties.
Notarization This form must be notarized to be valid. A notary public verifies the signatures and identity of the parties involved.
Submission The completed T-47 form is typically submitted to the title company handling the transaction before closing.
Use Cases It's often used in residential transactions, particularly when improvements or adjustments to property boundaries are present.
Impact on Title Insurance Providing a T-47 affidavit can impact title insurance coverage by clarifying encroachments and easements.
Timeline Homeowners should complete and submit the T-47 form in a timely manner, ideally before the transaction's closing date.
Potential Consequences Failure to submit an accurate T-47 could result in delays in closing or complications with title insurance coverage.

Texas residential property affidavit T-47 - Usage Guidelines

Filling out the Texas residential property affidavit T-47 form is an important step for property owners who need to affirm certain details about their property. It is essential to approach this form with care, ensuring that all information is accurate and complete. Below are the steps for filling out the T-47 form successfully.

  1. Obtain the Form: Access the T-47 form from a reliable source such as the Texas Secretary of State's website or your local county clerk’s office.
  2. Identify the Parties: Fill in the names and contact information of all property owners involved. This includes any co-owners or individuals with an interest in the property.
  3. Provide Property Details: Clearly describe the property by including the address, city, and county. Ensure that you have the correct legal description on hand to avoid any discrepancies.
  4. Complete the Affidavit Section: This section requires a statement affirming the ownership and relevant details. Write clearly and unambiguously to convey your statement of facts.
  5. Sign the Form: Each property owner must sign the form. A notary public should be present to witness the signing, ensuring that all signatures are valid.
  6. Notarization: After signing, have a notary public complete their section, which often involves adding a seal and providing their details.
  7. Submit the Form: Finally, file the completed affidavit with the appropriate county office. Make sure to keep a copy for your records.

Once the form has been filled out and submitted, it is important to follow up with the county office to ensure the affidavit has been processed correctly. Keeping a copy for your records is crucial in case any questions arise in the future.

Your Questions, Answered

What is the Texas residential property affidavit T-47 form?

The Texas residential property affidavit T-47 form is a document used in real estate transactions in Texas. It serves as a declaration of certain facts about the property in question. This form is often utilized to affirm details such as the ownership of the property, the presence of improvements or alterations, and the existing conditions of the property. It plays an important role in ensuring that all parties involved in the real estate transaction are informed about the characteristics and status of the property. The T-47 form may be particularly relevant during refinancing and closing processes, as it helps streamline the verification of property details.

Who needs to complete the T-47 form?

The T-47 form must be completed by the seller or the property owner who is conveying the property. This individual is responsible for providing accurate information regarding the property’s current state and any existing conditions that might affect its value. Buyers can also benefit from reviewing this affidavit, as it offers them greater insight into any potential issues or discrepancies related to the property before finalizing the transaction. Ensuring honesty and transparency in this document fosters trust between buyers and sellers.

What information is typically included in the T-47 form?

The T-47 form generally includes a variety of essential details about the property. It commonly covers the property’s legal description, ownership information, and a statement about whether any improvements have been made. Additionally, the form may request information regarding any easements, encroachments, or other matters that could affect the owner’s rights. By providing these details, the T-47 enables both parties to have a clear understanding of the property’s situation and any possible concerns that may need to be addressed.

Is the T-47 form required for every property transaction in Texas?

No, the T-47 form is not a mandatory document for every real estate transaction in Texas. However, it is highly recommended, especially in residential property dealings involving title insurance, refinancing, or any situation where the property’s condition is in question. Some title companies and lenders may require the T-47 form to complete the transaction, as it helps in assessing risks and ensuring that all parties involved have accurate and updated information about the property. Thus, while it may not always be explicitly required, its use is typically encouraged in various circumstances.

Common mistakes

  1. Not providing a complete legal description of the property. It is essential to include the correct and full description as it appears in the county property records.

  2. Forgetting to include the date of the affidavit. This date is important for establishing the timing of the declaration.

  3. Failing to sign the affidavit. An unsigned document may be deemed invalid, which can complicate the transaction.

  4. Neglecting to indicate the relationship between the parties involved. Clarifying this information is crucial for accurately conveying the context of the transaction.

  5. Omitting necessary supporting documents. Ensure that all required documents are attached to provide full context and verification.

  6. Providing inaccurate or outdated contact information. This information needs to be current to facilitate communication if further action is required.

  7. Using inappropriate terminology or unclear phrases. Consistency and clarity in language help avoid confusion and misinterpretation.

  8. Not checking for typographical or clerical errors. Such mistakes can lead to misunderstandings or delays in the processing of the affidavit.

Documents used along the form

The Texas residential property affidavit T-47 form is commonly used in real estate transactions as a way to clarify ownership and property details. To ensure a smooth process, several other forms and documents often accompany the T-47. Below is a list of these documents, each serving an important role in property transactions.

  • Deed: This document transfers ownership of the property from the seller to the buyer. It usually outlines the legal description of the property and may include warranties regarding the seller’s rights.
  • Title Policy: A title insurance policy protects the buyer and lender from potential claims or disputes regarding ownership. It verifies that the title is clear of any encumbrances.
  • Sales Contract: This written agreement outlines the terms of the sale, including the purchase price, financing contingencies, and any conditions the buyer and seller must meet.
  • Property Disclosure Form: Sellers often provide this form to inform potential buyers about known issues with the property. It may cover matters like repairs, environmental hazards, or zoning issues.
  • Closing Statement: This document summarizes all financial transactions involved in the property sale. It details costs such as closing fees, mortgage payoffs, and transfer taxes.
  • Loan Application: If the buyer is financing the home purchase, this document is needed for the lender to evaluate the buyer's creditworthiness and determine loan approval.
  • Mortgage Document: This agreement outlines the terms of the loan between the buyer and the lender. It includes repayment terms, interest rates, and the consequences of default.
  • Affidavit of Heirship: In cases where the property was inherited, this document establishes the rightful heirs and clarifies the transfer of ownership among them.

These documents, along with the T-47 form, help create a comprehensive picture of the transaction, ensuring all parties are properly informed and legally protected. Understanding each form's purpose can simplify the process and prevent potential disputes down the line.

Similar forms

The Texas residential property affidavit T-47 form is similar to the Texas Warranty Deed. Both documents are used in the transfer of property ownership. A Warranty Deed guarantees that the seller holds clear title to the property and has the right to sell it. In contrast, the T-47 form acts as a sworn statement confirming specific details about the property and the owner’s rights. While a Warranty Deed focuses on the assurance of claims to ownership, the T-47 provides supporting information that can be used for title insurance purposes.

Another document with parallels is the Title Insurance Policy. Like the T-47, a Title Insurance Policy protects against losses related to property claims or defects in title. The T-47 helps provide the necessary background for title insurance, as it confirms facts about the property. Both documents serve to give assurance and security to buyers, ensuring that they will not face unexpected legal issues related to ownership after the purchase.

The Affidavit of Heirship is also similar to the T-47 form. This document is used to establish rightful ownership of property after someone has passed away. It serves as proof of who inherits the property, much like the T-47 affirms the current ownership details for the property. Both documents are sworn affidavits, requiring a notary, which adds a layer of verification to the claims made within each form.

The Deed of Trust is akin to the T-47 because both documents relate to property ownership and financial aspects. A Deed of Trust details the terms under which a borrower secures a loan with the property as collateral. Although the T-47 does not address financial obligations, it supports the transaction by confirming ownership details necessary for the lender. Thus, both are integral to property transactions, each providing essential information for different aspects of ownership and financing.

The Texas Residential Lease Agreement can also be compared to the T-47. While a lease agreement outlines the terms of renting property, both documents serve to clarify rights and responsibilities associated with the property. The T-47 form establishes current ownership, which can affect leasing agreements. Clarity in ownership is crucial for landlords and tenants alike, ensuring that all parties are aware of who legally owns the property involved.

Dos and Don'ts

When completing the Texas residential property affidavit T-47 form, certain practices can help ensure accuracy and compliance. Here are some key dos and don'ts to consider:

  • Do read the form carefully before beginning. Familiarize yourself with each section.
  • Don't rush. Take your time to fill in the details accurately, as mistakes can lead to delays.
  • Do provide accurate information regarding ownership and property details. Ensure that the legal description of the property is correct.
  • Don't overlook the importance of signatures. Make certain all required parties sign the affidavit where necessary.
  • Do ensure that any additional documentation required is prepared and attached.
  • Don't leave any sections blank unless instructed to do so. Incomplete forms can be problematic.
  • Do check for updates to the form or the requirements, as regulations may change.
  • Don't submit the form without reviewing it one last time. Errors may not be caught after submission.
  • Do keep a copy of the completed form for your records. This can be helpful for future reference.

Misconceptions

The Texas residential property affidavit T-47 form can be a source of confusion for many homeowners and real estate professionals alike. Misunderstandings about this form are common. Here’s a clarifying list of misconceptions to help you navigate the Texas real estate landscape more effectively.

  • The T-47 form is optional. Many believe that the T-47 form is merely a recommendation. In reality, it is often a requirement for title companies to issue a title policy accurately.
  • The T-47 form is only for sellers. This misconception is misleading. Both buyers and sellers can be involved in filling out the T-47 form to clarify property ownership history and property conditions at the time of sale.
  • Filling out the T-47 is simple and quick. While it might seem straightforward, the T-47 form requires careful thought and attention to detail. Inaccurate information can lead to delays or even complications in the transaction.
  • The T-47 form is the same as a property survey. This is a frequent misunderstanding. The T-47 is an affidavit to verify property details and boundaries, while a property survey provides a physical map of the property, often required for different purposes.
  • Once submitted, the T-47 form cannot be changed. This is not entirely true. If mistakes are discovered after submission, amendments can be made, but it’s crucial to act quickly to avoid issues.
  • The T-47 form only concerns residential properties. Although its primary use is for residential property transactions, it can also be applied in certain situations involving land that doesn’t have residential structures.
  • You don’t need legal advice to fill out a T-47. It's wise to consult with a real estate professional or attorney when completing this form. Their expertise can help you avoid pitfalls and ensure compliance with Texas laws.
  • All title companies accept the T-47 form. While most title companies are familiar with the T-47, not all may accept it under every circumstance. Always check with the specific title company involved in your transaction.

Understanding these misconceptions is vital. Being informed helps to clear up confusion and encourages a smoother transaction process. Stay proactive and seek guidance where needed!

Key takeaways

Filling out the Texas Residential Property Affidavit T-47 form involves several key points to ensure accuracy and compliance.

  • Understand the Purpose: The T-47 form serves as an affidavit of ownership and helps clarify the status of property rights in real estate transactions.
  • Provide Accurate Information: Ensure that all personal and property details, including legal descriptions and addresses, are filled out correctly. This minimizes delays and legal complications.
  • Signatures Matter: All parties involved must sign the document. An incomplete signature can lead to disputes or rejection of the form.
  • Consult Experts: When in doubt, seek legal advice or consult a real estate professional. Their guidance can prevent costly mistakes.

Following these key takeaways can streamline the process and enhance the credibility of your property ownership claims.