Homepage Fill in Your Corporate Resolution Template
Table of Contents

The Corporate Resolution form plays a crucial role in the governance of corporations, particularly when it comes to establishing authority and making significant decisions. This document serves as a formal record of the resolutions adopted by a corporation's Board of Directors during a meeting, ensuring that these decisions are documented and recognized as valid. One of the primary functions of the form is to authorize specific officers of the corporation to engage in a Trust Agreement with a designated trustee, such as PARKWAY BANK & TRUST COMPANY. This agreement may involve the corporation being named as a beneficiary, which can have important implications for asset management and property ownership. Additionally, the resolution outlines the powers granted to these officers, enabling them to convey title to real estate, execute necessary documents, and manage trust-related matters. The form also emphasizes the ongoing authority of the appointed officers, providing reassurance to third parties that they can rely on the decisions made by these individuals without needing to investigate the legitimacy of their actions. Finally, the Corporate Resolution form requires the Secretary of the corporation to certify the resolutions and the authorized individuals, reinforcing the document's authenticity and the corporation's commitment to transparency in its operations.

Sample - Corporate Resolution Form

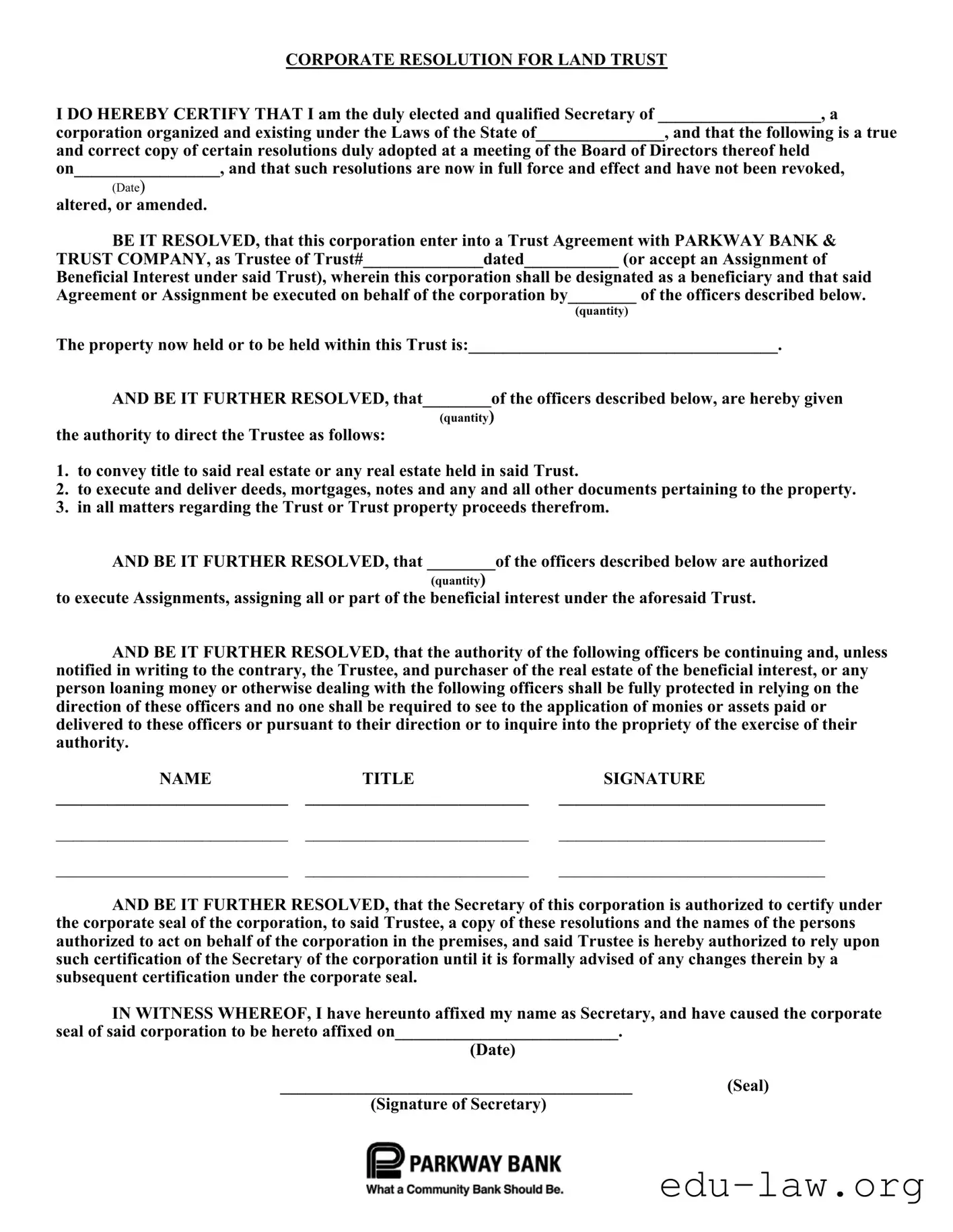
CORPORATE RESOLUTION FOR LAND TRUST

I DO HEREBY CERTIFY THAT I am the duly elected and qualified Secretary of ___________________, a

corporation organized and existing under the Laws of the State of_______________, and that the following is a true

and correct copy of certain resolutions duly adopted at a meeting of the Board of Directors thereof held

on_________________, and that such resolutions are now in full force and effect and have not been revoked,

(DATE)

altered, or amended.

BE IT RESOLVED, that this corporation enter into a Trust Agreement with PARKWAY BANK & TRUST COMPANY, as Trustee of Trust#______________dated___________ (or accept an Assignment of

Beneficial Interest under said Trust), wherein this corporation shall be designated as a beneficiary and that said Agreement or Assignment be executed on behalf of the corporation by________ of the officers described below.

(quantity)

The property now held or to be held within this Trust is:____________________________________.

AND BE IT FURTHER RESOLVED, that________of the officers described below, are hereby given

(quantity)

the authority to direct the Trustee as follows:

1.to convey title to said real estate or any real estate held in said Trust.

2.to execute and deliver deeds, mortgages, notes and any and all other documents pertaining to the property.

3.in all matters regarding the Trust or Trust property proceeds therefrom.

AND BE IT FURTHER RESOLVED, that ________of the officers described below are authorized

(quantity)

to execute Assignments, assigning all or part of the beneficial interest under the aforesaid Trust.

AND BE IT FURTHER RESOLVED, that the authority of the following officers be continuing and, unless notified in writing to the contrary, the Trustee, and purchaser of the real estate of the beneficial interest, or any person loaning money or otherwise dealing with the following officers shall be fully protected in relying on the direction of these officers and no one shall be required to see to the application of monies or assets paid or delivered to these officers or pursuant to their direction or to inquire into the propriety of the exercise of their authority.

NAME

TITLE

SIGNATURE

___________________________

__________________________

_______________________________

___________________________

__________________________

_______________________________

___________________________

__________________________

_______________________________

AND BE IT FURTHER RESOLVED, that the Secretary of this corporation is authorized to certify under the corporate seal of the corporation, to said Trustee, a copy of these resolutions and the names of the persons authorized to act on behalf of the corporation in the premises, and said Trustee is hereby authorized to rely upon such certification of the Secretary of the corporation until it is formally advised of any changes therein by a subsequent certification under the corporate seal.

IN WITNESS WHEREOF, I have hereunto affixed my name as Secretary, and have caused the corporate seal of said corporation to be hereto affixed on__________________________.

(Date)

_________________________________________ (Seal)

(Signature of Secretary)

File Specs

Fact Name Description
Purpose The Corporate Resolution form is used to document decisions made by a corporation's Board of Directors, particularly regarding trusts and property management.
Certification It certifies that the resolutions were adopted during a formal meeting and are currently in effect.
Trustee Involvement The form specifies a Trustee, typically a bank, responsible for managing the trust's assets on behalf of the corporation.
Authority Delegation It grants specific officers the authority to act on behalf of the corporation regarding trust matters, including executing documents and conveying property titles.
Continuing Authority The resolutions provide that the authority granted to the officers remains effective until a formal notice of change is provided.
Corporate Seal The Secretary must affix the corporate seal to certify the document, ensuring its authenticity.
State-Specific Laws The form must comply with the laws of the state where the corporation is organized, such as Delaware General Corporation Law or California Corporations Code.
Date Requirement The form requires specific dates for the meeting, trust agreement, and the signing of the resolution, ensuring a clear timeline of actions.

Corporate Resolution - Usage Guidelines

Completing the Corporate Resolution form is an important step in formalizing decisions made by your corporation’s Board of Directors. This document serves to certify the resolutions adopted during a meeting and outlines the authority granted to specific officers. Follow the steps below to ensure that the form is filled out accurately and completely.

  1. Begin by entering the name of your corporation in the first blank space provided.
  2. In the next blank, specify the state where your corporation is organized.
  3. Fill in the date of the Board of Directors meeting where the resolutions were adopted.
  4. Indicate the name of the Trust Agreement and the Trustee (PARKWAY BANK & TRUST COMPANY) in the designated spaces.
  5. Enter the Trust number and the date of the Trust Agreement in the appropriate blanks.
  6. Identify the individual who will execute the Agreement or Assignment on behalf of the corporation.
  7. Describe the property that is currently held or will be held within the Trust.
  8. List the names of the officers who will have authority to direct the Trustee regarding the property.
  9. Provide the quantity of officers listed in the previous step.
  10. Outline the specific powers granted to these officers, including the ability to convey title, execute documents, and manage Trust matters.
  11. Identify the officers authorized to execute Assignments of the beneficial interest under the Trust.
  12. State the quantity of these officers as well.
  13. Ensure that the names and titles of all officers are clearly printed in the designated area, along with their signatures.
  14. As the Secretary, certify the resolutions by signing your name and affixing the corporate seal on the indicated date.

Once completed, this form should be kept with your corporate records. It may be necessary to provide copies to the Trustee or other parties involved in the Trust. Make sure to keep track of any changes in the officers or resolutions, as these will require a new certification.

Your Questions, Answered

What is a Corporate Resolution form?

A Corporate Resolution form is a document that outlines decisions made by a corporation's Board of Directors. It serves as an official record of actions taken, such as entering into agreements or granting authority to specific officers. This form is essential for ensuring that corporate actions are documented and legally binding.

Why is a Corporate Resolution necessary?

This form is necessary because it provides legal protection for the corporation and its officers. By documenting decisions, the corporation can demonstrate that its actions were authorized and compliant with its bylaws. This is particularly important when dealing with third parties, such as banks or real estate transactions, as it establishes the authority of individuals acting on behalf of the corporation.

Who typically signs the Corporate Resolution?

The Corporate Resolution is usually signed by the Secretary of the corporation. Additionally, it may require signatures from other officers who have been granted authority to act on behalf of the corporation. The signatures validate the resolutions and confirm that the individuals are authorized to execute documents related to the resolutions.

What types of decisions can be documented in a Corporate Resolution?

Decisions documented in a Corporate Resolution can include entering into trust agreements, authorizing the sale or transfer of property, and granting specific powers to officers. The resolutions can also outline who is responsible for executing necessary documents, such as deeds or mortgages, related to these decisions.

How long does the authority granted in a Corporate Resolution last?

The authority granted in a Corporate Resolution is typically ongoing unless revoked or amended by a subsequent resolution. This means that the authorized officers can continue to act on behalf of the corporation without needing additional approvals, as long as the corporation has not formally notified the relevant parties of any changes.

What should be included in a Corporate Resolution?

A Corporate Resolution should include the name of the corporation, the date of the meeting where the resolutions were adopted, and a detailed account of the resolutions themselves. It should also specify the officers authorized to act on behalf of the corporation, including their titles and signatures. Additionally, it should contain a certification from the Secretary under the corporate seal, affirming the authenticity of the document.

Can a Corporate Resolution be amended?

Yes, a Corporate Resolution can be amended. If changes are necessary, the Board of Directors must meet and adopt a new resolution that outlines the amendments. This ensures that all parties involved are aware of the current authority and decisions made by the corporation. The amended resolution should also be documented and certified by the Secretary.

Common mistakes

  1. Leaving Blank Fields: Failing to fill in required fields can lead to confusion or invalidation of the document. Ensure all sections are completed, especially names and dates.

  2. Incorrect Corporate Name: Using the wrong name for the corporation can cause legal issues. Always double-check the corporation's official name as registered.

  3. Missing Date of Meeting: Not providing the date of the board meeting can raise questions about the legitimacy of the resolution. Always include the correct date.

  4. Failing to Sign: Forgetting to sign the document can render it ineffective. Ensure that the Secretary's signature is included at the end.

  5. Not Using the Corporate Seal: Omitting the corporate seal may weaken the document's authority. Always affix the seal where indicated.

  6. Improper Officer Authorization: Authorizing the wrong individuals to act on behalf of the corporation can lead to unauthorized actions. Confirm that the right officers are listed.

  7. Inaccurate Trust Details: Providing incorrect information about the Trust, such as the trustee's name or trust number, can cause complications. Double-check all trust-related information.

  8. Not Keeping a Copy: Failing to keep a copy of the signed resolution can lead to disputes later. Always retain a copy for your records.

Documents used along the form

When a corporation decides to take significant actions, such as entering into a trust agreement, it often relies on various forms and documents to ensure everything is handled correctly. One of the key documents in this process is the Corporate Resolution form. However, several other forms accompany it to provide a comprehensive legal framework. Here’s a look at some of these essential documents.

  • Bylaws: These are the rules that govern the internal management of the corporation. Bylaws outline the responsibilities of directors and officers, the process for holding meetings, and how decisions are made.
  • Meeting Minutes: This document serves as a record of what transpired during a board meeting. It includes details about the discussions, decisions made, and any resolutions passed, ensuring transparency and accountability.
  • Trust Agreement: A trust agreement outlines the terms under which a trust is established. It specifies the roles of the trustee and beneficiaries, and details how assets are to be managed and distributed.
  • Certificate of Incorporation: This is the legal document that establishes a corporation in the eyes of the state. It includes essential information such as the corporation's name, purpose, and the number of shares authorized for issuance.
  • Power of Attorney: This document grants one person the authority to act on behalf of another in legal or financial matters. In a corporate context, it might allow an officer to sign documents or make decisions without needing to consult the board for each action.
  • Assignment of Beneficial Interest: This document allows a beneficiary to transfer their interest in a trust to another party. It’s essential for ensuring that the new beneficiary has the right to the benefits of the trust.
  • Corporate Seal: While not a document per se, the corporate seal is an official mark that signifies the corporation's approval of certain documents. It adds a layer of authenticity and formality to the resolutions and agreements.

Understanding these documents is crucial for anyone involved in corporate governance. Each plays a vital role in ensuring that the corporation operates smoothly and in compliance with legal requirements. By familiarizing yourself with these forms, you can better navigate the complexities of corporate law and contribute to your organization's success.

Similar forms

The Corporate Resolution form is similar to a Board Meeting Minutes document. Both serve to officially record decisions made by a corporation's board of directors. In Board Meeting Minutes, the discussions, decisions, and resolutions are documented in detail, while the Corporate Resolution form succinctly captures specific actions authorized by the board. This ensures that there is a formal record of the board's decisions, providing clarity and accountability for future reference.

Another document that resembles the Corporate Resolution is the Bylaws of a corporation. Bylaws outline the internal rules governing a corporation’s operations and management. They typically cover the roles of officers, procedures for meetings, and decision-making processes. While the Corporate Resolution focuses on specific actions taken at a given time, the Bylaws provide the broader framework within which those actions are authorized and executed.

Shareholder Consent forms are also similar to the Corporate Resolution. These documents allow shareholders to express their agreement on corporate actions without holding a formal meeting. Just like a Corporate Resolution, Shareholder Consent captures the decisions made and the individuals authorized to act on behalf of the corporation. This streamlines decision-making, especially when time is of the essence, ensuring that important actions can be taken promptly.

The Power of Attorney is another document that aligns with the Corporate Resolution. A Power of Attorney grants authority to an individual to act on behalf of another in legal or financial matters. Similarly, the Corporate Resolution designates specific officers to execute agreements and make decisions for the corporation. Both documents empower individuals to act, providing clarity on who has the authority to make binding decisions.

In addition, the Certificate of Incumbency shares similarities with the Corporate Resolution. This document confirms the identity and authority of individuals holding specific positions within a corporation. It often accompanies the Corporate Resolution to validate the signatures and actions taken by the designated officers. Both documents work together to ensure that the corporation operates smoothly and that its actions are legally recognized.

Another related document is the Authorization for Bank Transactions. This form specifies which individuals are allowed to conduct banking activities on behalf of the corporation. Like the Corporate Resolution, it formalizes the delegation of authority, ensuring that only designated officers can manage the corporation’s financial matters. This prevents unauthorized transactions and protects the corporation’s assets.

Lastly, the Corporate Charter is akin to the Corporate Resolution. The Corporate Charter establishes the corporation's existence and outlines its purpose, structure, and governance. While the Corporate Resolution deals with specific actions taken by the board, the Corporate Charter provides the foundational framework that governs those actions. Together, they ensure that the corporation operates within the law and adheres to its stated objectives.

Dos and Don'ts

When filling out the Corporate Resolution form, it’s important to follow certain guidelines to ensure accuracy and compliance. Here’s a list of things you should and shouldn’t do:

  • Do ensure that all information is accurate and complete. Double-check the corporation's name and the state of incorporation.
  • Do clearly state the date of the meeting where the resolutions were adopted.
  • Do specify the names and titles of the officers authorized to act on behalf of the corporation.
  • Do use the corporate seal when certifying the resolutions to ensure legitimacy.
  • Don’t leave any sections blank. Each part of the form must be filled out appropriately.
  • Don’t forget to keep a copy of the signed resolution for your records.

By adhering to these guidelines, you can help ensure that the Corporate Resolution form is filled out correctly and serves its intended purpose effectively.

Misconceptions

Misconceptions about the Corporate Resolution form can lead to confusion. Here are four common misunderstandings:

  • It is only necessary for large corporations. Many believe that only large corporations need a Corporate Resolution. In reality, any corporation, regardless of size, may require this form to document important decisions made by the Board of Directors.
  • It is a one-time requirement. Some think that a Corporate Resolution is needed only once. However, resolutions may be required for various actions over time, such as entering new agreements or changing officers.
  • Only the President can sign. There is a misconception that only the President of the corporation can sign the resolution. In fact, any officer designated in the resolution can sign, as long as they are authorized by the Board.
  • It does not need to be documented. Many assume that verbal agreements are sufficient. However, a written Corporate Resolution provides a clear record of decisions made, protecting the corporation and its officers in future dealings.

Key takeaways

Filling out and using a Corporate Resolution form is an important step for a corporation, particularly when entering into agreements or making decisions that require formal approval. Here are key takeaways to consider:

  • Identify the Corporation: Clearly state the name of the corporation and the state in which it is organized.
  • Meeting Details: Include the date of the Board of Directors meeting where the resolutions were adopted.
  • Authority of Officers: Specify which officers are authorized to act on behalf of the corporation, including their titles and signatures.
  • Trust Agreement: Detail the Trust Agreement or Assignment of Beneficial Interest, including the name of the Trustee and the date of the Trust.
  • Property Description: Provide a clear description of the property involved in the Trust.
  • Continuing Authority: State that the authority granted to the officers is ongoing until formally revoked.
  • Certification: The Secretary must certify the resolutions and the names of authorized individuals under the corporate seal.
  • Reliance on Authority: Emphasize that third parties can rely on the actions of authorized officers without needing to verify the use of funds or assets.

Each of these points plays a crucial role in ensuring that the Corporate Resolution form is completed accurately and serves its intended purpose effectively.