Homepage Fill in Your Clean Hands Certification Template
Table of Contents

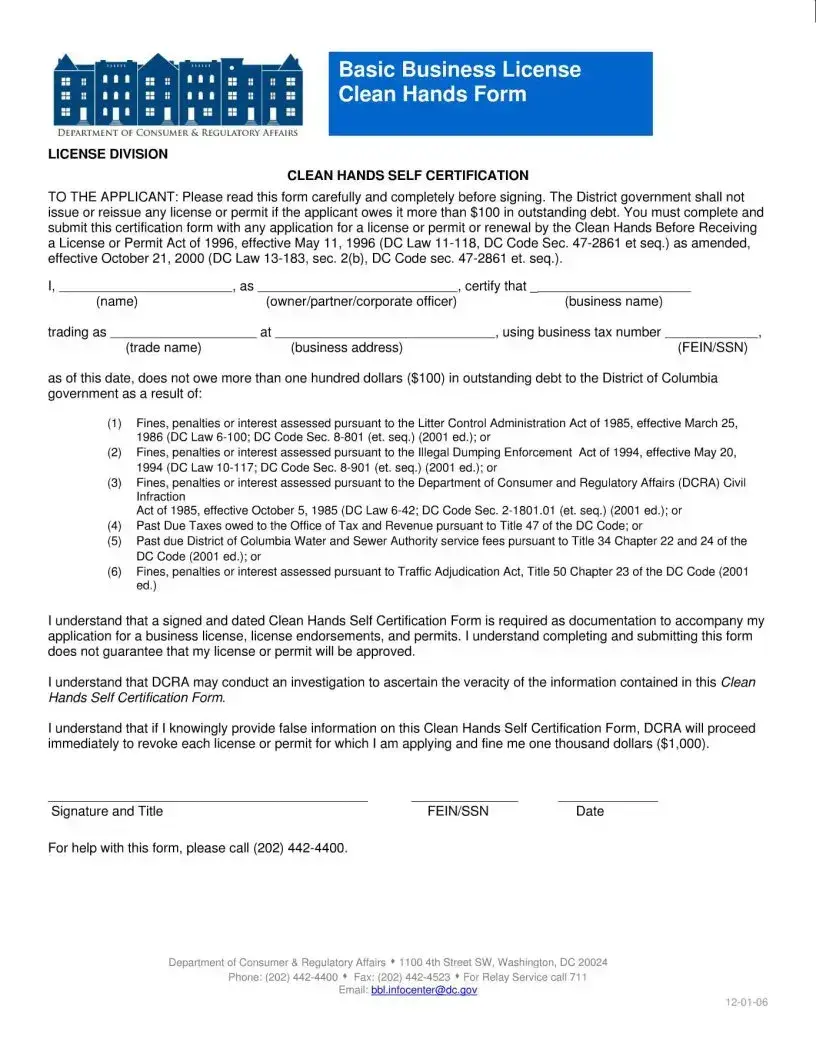
The Clean Hands Certification form plays a crucial role in the licensing process for businesses in the District of Columbia. This form, mandated by the Clean Hands Before Receiving a License or Permit Act of 1996, requires applicants to affirm that they do not owe more than $100 in outstanding debts to the District government. Such debts can arise from various sources, including fines related to litter control, illegal dumping, and civil infractions, as well as past due taxes and service fees from the District of Columbia Water and Sewer Authority. When submitting an application for a business license, permit, or renewal, it is essential to include this certification to demonstrate compliance with local regulations. However, it's important to note that merely completing the form does not guarantee approval of the application. The Department of Consumer and Regulatory Affairs (DCRA) reserves the right to verify the information provided, and any false statements can lead to severe penalties, including the revocation of licenses and hefty fines. Understanding the implications of this form is vital for anyone looking to establish or maintain a business in the District.

Sample - Clean Hands Certification Form

File Specs

Fact Name Description
Purpose The Clean Hands Certification form is required to ensure that applicants do not owe more than $100 in outstanding debt to the District of Columbia government.
Governing Law This form is governed by the Clean Hands Before Receiving a License or Permit Act of 1996 (DC Law 11-118, DC Code Sec. 47-2861 et seq.) as amended.
Debt Criteria Applicants must certify that they do not owe more than $100 in debts related to fines, penalties, or interest under various DC laws.
Required Documentation A signed and dated Clean Hands Self Certification Form must accompany any application for a business license, license endorsements, or permits.
Investigation Clause The Department of Consumer and Regulatory Affairs (DCRA) may investigate the information provided in the form to ensure its accuracy.
Consequences of False Information Providing false information can lead to immediate revocation of licenses or permits and a fine of $1,000.

Clean Hands Certification - Usage Guidelines

Completing the Clean Hands Certification form is a crucial step in your application for a business license or permit. This form ensures that you are in good standing with the District of Columbia government regarding any outstanding debts. Follow these steps carefully to ensure your application proceeds smoothly.

  1. Begin by reading the entire form carefully. Understanding the requirements is essential.
  2. Fill in your full name in the designated space.
  3. Indicate your role in the business (owner, partner, corporate officer) next to your name.
  4. Provide the business name as it appears in official documents.
  5. Enter the business address accurately, ensuring all details are correct.
  6. List your business tax number in the appropriate field.
  7. Provide your Federal Employer Identification Number (FEIN) or Social Security Number (SSN) as required.
  8. Confirm that you do not owe more than $100 in outstanding debt to the District of Columbia government. This includes any fines, penalties, or past due taxes.
  9. Sign and date the form at the bottom. Your signature indicates your understanding of the requirements and the potential consequences of providing false information.

Once you have completed the form, it must be submitted along with your application for a business license or permit. Make sure to keep a copy for your records. Timely submission is important to avoid any delays in the processing of your application.

Your Questions, Answered

What is the Clean Hands Certification form?

The Clean Hands Certification form is a document required by the District of Columbia government. It certifies that an applicant does not owe more than $100 in outstanding debt to the government, which can include fines, penalties, or past due taxes. This form must be submitted with any application for a business license, permit, or renewal to ensure compliance with the Clean Hands Before Receiving a License or Permit Act of 1996.

Why is the Clean Hands Certification important?

This certification is crucial because it helps the District of Columbia maintain financial accountability among businesses. By ensuring that applicants do not have outstanding debts, the government promotes responsible business practices and encourages compliance with local laws. Without this certification, an application for a license or permit may be denied.

Who needs to complete the Clean Hands Certification form?

Any individual or entity applying for a business license, permit, or renewal in the District of Columbia must complete this form. This includes owners, partners, and corporate officers. It is essential for anyone who wants to legally operate a business in the district.

What types of debts are covered by the Clean Hands Certification?

The form addresses various types of debts, including fines and penalties from the Litter Control Administration Act, Illegal Dumping Enforcement Act, and the DCRA Civil Infraction Act. Additionally, it covers past due taxes owed to the Office of Tax and Revenue and unpaid service fees to the District of Columbia Water and Sewer Authority.

What happens if I provide false information on the Clean Hands Certification form?

If an applicant knowingly provides false information, the Department of Consumer and Regulatory Affairs (DCRA) will take immediate action. This can result in the revocation of any licenses or permits applied for, along with a fine of $1,000. Honesty in this process is not just a legal requirement but also a matter of ethical business practice.

Is submitting the Clean Hands Certification form a guarantee that my application will be approved?

No, submitting this form does not guarantee that your application for a business license or permit will be approved. The DCRA may conduct further investigations to verify the information provided. Approval is contingent upon meeting all other requirements and regulations as well.

How do I submit the Clean Hands Certification form?

The form should be completed and signed before submission. It must accompany your application for a business license or permit. You can submit the form in person at the Department of Consumer and Regulatory Affairs or follow any specific submission guidelines provided by the agency.

Where can I find the Clean Hands Certification form?

The Clean Hands Certification form can typically be found on the official website of the Department of Consumer and Regulatory Affairs. It may also be available at their office located at 1100 4th Street SW, Washington, DC 20024. Always ensure you have the most current version of the form when applying.

Common mistakes

  1. Incomplete Information: Many applicants fail to fill out all required fields on the Clean Hands Certification form. Missing information, such as the business name, owner’s name, or tax identification number, can lead to delays or rejection of the application.

  2. Incorrect Financial Disclosure: Some individuals mistakenly report their outstanding debts. It is crucial to accurately assess any fines, penalties, or past due amounts owed to the District of Columbia government. Errors in this section can result in disqualification from receiving a license or permit.

  3. Failure to Sign and Date: A common oversight is neglecting to sign and date the certification form. Without a signature, the form is not considered valid, which may prevent the issuance of the desired license or permit.

  4. Misunderstanding the Certification Requirements: Some applicants do not fully grasp the implications of the Clean Hands Certification. It is essential to understand that submitting the form does not guarantee approval of the license or permit. Additionally, knowingly providing false information can lead to severe penalties, including fines and revocation of licenses.

Documents used along the form

The Clean Hands Certification form is a crucial document for individuals and businesses applying for licenses or permits in the District of Columbia. Alongside this form, several other documents are often required to ensure compliance with local regulations. Below is a list of related forms and documents that may be necessary.

  • Basic Business License Application: This application is essential for anyone wishing to operate a business in the District. It collects information about the business structure, ownership, and operations, and is the first step in obtaining a business license.
  • Tax Clearance Certificate: This certificate verifies that a business has no outstanding tax liabilities to the District of Columbia. It is often required to demonstrate compliance with tax obligations before a license can be issued.
  • Certificate of Good Standing: Issued by the Department of Consumer and Regulatory Affairs, this document confirms that a business is compliant with all regulations and is authorized to conduct business in the District.
  • Business Registration Certificate: This certificate is proof that a business is registered with the appropriate local authorities. It is necessary for legal recognition and can be requested during the licensing process.
  • Occupancy Permit: Before a business can operate from a specific location, an occupancy permit must be obtained. This document ensures that the premises meet safety and zoning regulations.
  • Trade Name Registration: If a business operates under a name different from its legal name, it must register this trade name. This protects the business and informs the public of its identity.

Understanding these documents and their purposes can streamline the licensing process. Be sure to gather all necessary forms to avoid delays in obtaining your business license or permit.

Similar forms

The Business License Application is a document that requires applicants to provide essential information about their business operations. Similar to the Clean Hands Certification form, it mandates that applicants disclose any outstanding debts owed to government entities. This ensures that only financially responsible businesses receive licenses, promoting compliance with local regulations. The application also requires verification of the applicant's identity and business status, reinforcing the importance of transparency in the licensing process.

The Certificate of Good Standing is another document that shares similarities with the Clean Hands Certification form. This certificate confirms that a business is compliant with state regulations and has met all necessary obligations, including tax payments. Just as the Clean Hands form ensures that applicants do not owe debts to the District, the Certificate of Good Standing verifies that a business is in good financial standing with the state. Both documents serve to protect the integrity of business operations within their respective jurisdictions.

The Tax Clearance Certificate is closely related to the Clean Hands Certification form as it verifies that a business has settled all tax obligations. This document is often required when applying for various permits and licenses. Like the Clean Hands form, it aims to ensure that businesses are financially responsible and in compliance with tax laws. By requiring this certificate, authorities can prevent businesses with outstanding tax debts from operating, which helps maintain a fair competitive environment.

The Business Registration form also bears resemblance to the Clean Hands Certification form. This document requires businesses to register with the appropriate government agency, providing information about ownership and operational status. Similar to the Clean Hands form, it often includes a declaration regarding the applicant's financial obligations to the government. Both forms emphasize the importance of maintaining accurate and up-to-date records to facilitate business operations and compliance with local laws.

Lastly, the Occupational License Application is another document that aligns with the Clean Hands Certification form. This application is necessary for individuals seeking to work in regulated professions. It requires applicants to disclose any outstanding debts or compliance issues with the government. Like the Clean Hands Certification, it aims to ensure that only qualified individuals are granted the right to operate in their respective fields, thereby promoting ethical standards and accountability within the profession.

Dos and Don'ts

When filling out the Clean Hands Certification form, it is essential to approach the task with care and attention. Here are some important guidelines to follow:

  • Do read the form thoroughly before signing. Understanding the requirements is crucial to ensure compliance.
  • Do provide accurate information. Any discrepancies may lead to delays or denial of your application.
  • Do check for outstanding debts to the District of Columbia government. Ensure that you owe no more than $100.
  • Do sign and date the form before submitting it. A missing signature can result in processing issues.
  • Do keep a copy of the completed form for your records. This can be helpful for future reference.
  • Don’t rush through the form. Take your time to ensure all sections are completed accurately.
  • Don’t provide false information. Misrepresentation can lead to severe penalties, including fines and revocation of licenses.
  • Don’t submit the form without verifying it. Review all entries to avoid mistakes.
  • Don’t ignore the submission deadlines. Ensure you submit the form in a timely manner to avoid delays in your application.
  • Don’t forget to follow up if you do not receive confirmation of your submission. It’s important to ensure your application is being processed.

By adhering to these guidelines, you can navigate the Clean Hands Certification process with confidence and clarity. Remember, attention to detail is key to a successful application.

Misconceptions

Misconceptions about the Clean Hands Certification form can lead to confusion for applicants. Here are five common misunderstandings:

  • It guarantees approval of my license or permit. Many believe that submitting the Clean Hands Certification form ensures their application will be approved. In reality, completing the form is just one step in the process. Approval is contingent on meeting all requirements.
  • Only businesses with outstanding debts need to submit this form. Some think that only those with debts to the District of Columbia must complete this certification. However, every applicant must submit the form, regardless of their debt status, to confirm compliance with the Clean Hands Before Receiving a License or Permit Act.
  • Submitting false information has no serious consequences. A misconception exists that providing inaccurate information will not lead to repercussions. In fact, knowingly submitting false information can result in immediate revocation of licenses and significant fines.
  • Only certain types of debts are considered. Some applicants believe that only specific debts, like fines for littering, are relevant. The form addresses various debts, including past due taxes and service fees, which must be cleared before a license can be issued.
  • The form is optional for certain licenses. There is a belief that the Clean Hands Certification is optional for some types of licenses or permits. This is incorrect; the form is mandatory for all applications to ensure compliance with local regulations.

Key takeaways

Filling out the Clean Hands Certification form is an essential step for anyone applying for a business license or permit in Washington, D.C. Here are some key takeaways to keep in mind:

  • Understand the Purpose: This form certifies that you do not owe more than $100 in outstanding debts to the District of Columbia government.
  • Know the Debts Covered: The certification addresses various debts, including fines, penalties, and past due taxes related to several specific laws.
  • Complete the Form Accurately: Ensure all fields are filled out correctly, including your name, business name, and tax identification number.
  • Submission Requirement: This form must accompany any application for a business license, license endorsements, or permits.
  • Approval Not Guaranteed: Submitting the form does not automatically mean that your application will be approved.
  • Verification Process: Be aware that the Department of Consumer and Regulatory Affairs (DCRA) may investigate the information provided.
  • Consequences of False Information: Providing inaccurate information can lead to immediate revocation of your license or permit and a fine of $1,000.

By following these guidelines, you can navigate the Clean Hands Certification process more effectively and ensure compliance with local regulations.