Homepage Fill in Your City Of Massillon Income Tax Template
Table of Contents

The City of Massillon Income Tax form is an essential tool for employers operating within the city, ensuring compliance with local tax regulations. This form is specifically designed for reporting employees' income tax withheld and conducting an annual reconciliation. Employers must be aware of the recent changes in tax guidelines established by Amended Substitute House Bill 5, which took effect for tax years starting January 1, 2018. The form includes critical information such as company address, federal identification number, and the specific withholding period. Employers are required to remit monthly if their withholdings exceeded certain thresholds in the previous year, while those below these thresholds may remit quarterly. The tax rate is set at 2%, and any discrepancies in the amount withheld must be explained in detail. Additionally, employers are responsible for keeping their account information current and ensuring timely filing and payment to avoid penalties and interest. With twelve forms included for monthly filers and four for quarterly filers, this booklet serves as a comprehensive guide for fulfilling tax obligations while supporting the city's essential services.

Sample - City Of Massillon Income Tax Form

File Specs

Fact Name Details
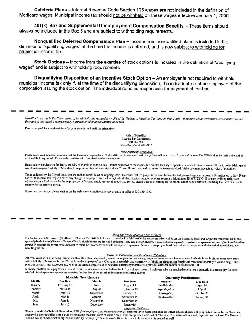
Tax Rate The City of Massillon imposes a municipal income tax rate of 2% on qualifying wages.
Filing Frequency Employers must remit taxes either monthly or quarterly based on their withholding amounts from the previous year.
Monthly Remittance Threshold If withholding exceeded $2,399 in the previous calendar year, employers must remit monthly.
Quarterly Remittance Threshold Employers can remit quarterly if their monthly withholding does not exceed $200 in the previous calendar quarter.
Due Dates for Monthly Filers Taxes withheld must be paid by the 15th of the month following the reporting period.
Due Dates for Quarterly Filers Quarterly payments are due by the last day of the month following the end of the quarter.
Late Payment Penalty A one-time penalty of 50% of the unpaid balance is imposed if payment is late (Ohio Revised Code 718.27).
Interest on Late Payments Interest is calculated at the July federal short-term interest rate plus an additional 5%.
Qualifying Wages Definition Qualifying wages include wages defined in Internal Revenue Code Section 3121(a), which corresponds to Box 5 of federal Form W-2.
Employer Notification Employers must notify the Income Tax Department in writing of any changes in their name, address, or Federal identification number.

City Of Massillon Income Tax - Usage Guidelines

Filling out the City of Massillon Income Tax form is an essential task for employers to ensure compliance with local tax regulations. Completing the form accurately helps maintain the city's essential services and keeps your business in good standing. Below are the steps to guide you through the process of filling out the form correctly.

  1. Gather necessary information, including your Federal ID number (or SSN if you are a sole proprietorship), company name, and address.
  2. Identify the correct withholding period by determining the exact dates of withholding. This should be indicated in the “for period from” and “to” blocks on the form.
  3. If the form does not preprint your information, fill in your company name, address, and Federal ID number in the appropriate sections.
  4. Enter the total salaries and wages that are subject to Massillon tax in the designated box.
  5. Calculate the total tax withheld for the period and enter that amount in the corresponding box.
  6. If applicable, include any interest and penalties as outlined in the instructions and enter this amount.
  7. Write down the total amount you are submitting with the form in the “Amount paid Herewith” section.
  8. Ensure that the form is signed and dated by an authorized officer of your company.
  9. Provide a contact phone number for any follow-up questions regarding the submission.
  10. Keep a copy of the completed form for your records.
  11. Mail the original form to the City of Massillon Income Tax Department at P.O. Box 910, Massillon, Ohio 44648-0910.

By following these steps, you can ensure that your tax return is completed accurately and submitted on time, helping to avoid any penalties or interest charges. Make sure to stay informed about any changes to tax regulations that may affect your future filings.

Your Questions, Answered

What is the City of Massillon Income Tax form used for?

The City of Massillon Income Tax form is used by employers to report and remit the income tax withheld from their employees' wages. It serves as an annual reconciliation of the taxes that have been collected and ensures compliance with local tax regulations.

When are the income tax forms due?

Employers must submit monthly withholding returns and payments by the 15th of the month following the reporting period. For those who remit quarterly, the due date is the last day of the month following the end of the quarter. It is essential to adhere to these deadlines to avoid penalties.

What are the penalties for late payment?

If a payment is late, a one-time penalty of 50% of the unpaid balance will be applied. Additionally, interest will accrue at the July federal short-term interest rate plus 5%. Timely payments are crucial to minimize these additional costs.

How is the tax rate determined?

The tax rate for the City of Massillon is set at 2%. Employers must ensure that the amount withheld from employees’ wages reflects this rate. If there is a discrepancy, an explanation must be provided along with the submitted form.

What should I do if I do not have employees during a reporting period?

If there are no employees during a reporting period, it is important to indicate this on the form and submit it nonetheless. This helps maintain accurate records with the City of Massillon Income Tax Department.

What information is required to complete the form?

Employers need to provide their Federal ID number (or SSN for sole proprietorships), company name, and address. Additionally, the form must specify the exact dates of the withholding period and be signed and dated by an authorized officer of the company.

What types of wages are subject to municipal income tax?

Municipal income tax applies to “qualifying wages,” which generally include wages as defined by the Internal Revenue Code. This includes Medicare wages, but not certain types of compensation such as cafeteria plan wages. Employers should be aware of these distinctions to ensure proper withholding.

How can I ensure my account information is up to date?

To keep account information accurate, employers should notify the City of Massillon Income Tax Department in writing about any changes, such as a new employer name, address, or Federal identification number. This helps prevent issues with tax remittances and compliance.

Where can I find assistance if I have questions?

If you have questions or need assistance, you can visit the City of Massillon's website at www.massillonohio.com or contact the Income Tax Department directly at 330-830-1709. They are available to help clarify any concerns regarding the income tax forms and filing process.

Common mistakes

  1. Incorrect Tax Rate: Ensure that the tax rate used is 2% unless otherwise specified. Using an incorrect rate can lead to discrepancies and potential penalties.

  2. Missing Federal ID Number: Always provide the correct Federal ID number or Social Security Number for sole proprietorships. This information is essential for proper identification and processing.

  3. Failure to Indicate Withholding Period: Clearly specify the withholding period by filling in the “for period from” and “to” fields. Omitting this information can delay processing.

  4. Not Signing the Form: The return must be signed and dated by an authorized officer of the company. A missing signature will result in the form being rejected.

  5. Incorrect Employee Count: If there are no employees during the reporting period, it is crucial to indicate this on the form. Failing to do so may lead to unnecessary inquiries.

  6. Neglecting to Keep Records: Always maintain a copy of the completed form for your records. This is vital for future reference and may be needed in case of an audit.

  7. Late Submission: Submit the form and payment by the required due date to avoid penalties. Monthly returns are due by the 15th of the following month, while quarterly returns are due by the last day of the month after the quarter ends.

  8. Ignoring Changes in Tax Guidelines: Stay informed about any changes in municipal tax laws or filing requirements. Ignoring these updates can lead to errors in your filing.

  9. Failure to Notify Changes: If there are any changes to your business information, such as name or address, notify the Income Tax Department in writing. This ensures that all records are accurate and up-to-date.

Documents used along the form

When filing the City of Massillon Income Tax form, several other forms and documents may also be required to ensure compliance with local tax regulations. Below is a list of commonly used documents that can assist in the process.

  • Form W-2: This is a wage and tax statement provided by employers to their employees. It details the amount of income earned and the taxes withheld during the year, which is crucial for accurately completing the income tax return.
  • Form 941: This is the Employer's Quarterly Federal Tax Return. It reports income taxes, Social Security tax, and Medicare tax withheld from employee paychecks. Employers use this form to reconcile their federal withholding with state and local taxes.
  • Form 1099: This form is used to report various types of income other than wages, salaries, and tips. If an employer pays independent contractors, they must issue a 1099 to report those payments, which may also be relevant for local tax purposes.
  • Employer Identification Number (EIN): This is a unique number assigned by the IRS to businesses for tax purposes. Employers must provide their EIN on tax forms, including the City of Massillon Income Tax form, to identify their business accurately.
  • Payroll Records: These documents include detailed records of employee wages, hours worked, and tax withholdings. Keeping accurate payroll records helps ensure that the tax calculations are correct and can be referenced if needed.
  • Reconciliation Statement: If there is a discrepancy between the tax withheld and the amount reported, a reconciliation statement should be included. This document explains any differences and provides supporting information for adjustments.

Having these documents ready can streamline the filing process and help avoid potential issues with tax compliance. Always ensure that the information is accurate and up-to-date to facilitate a smooth submission of your income tax forms.

Similar forms

The City of Massillon Income Tax form shares similarities with the IRS Form 941, which is used by employers to report income taxes, Social Security tax, or Medicare tax withheld from employee paychecks. Both forms require employers to provide detailed information about their employees’ wages and the amount of tax withheld. The filing deadlines differ, but the essence remains the same: both forms ensure that the correct amount of tax is reported and remitted to the respective authorities. Employers must also reconcile any discrepancies in the amounts reported, similar to the reconciliation process in the Massillon form.

Another document comparable to the City of Massillon Income Tax form is the Ohio Department of Taxation’s Employer Withholding Tax Return (IT-501). This form is specifically designed for Ohio employers to report and remit state income taxes withheld from employees. Like the Massillon form, it includes sections for total wages, tax withheld, and penalties for late payments. Both documents emphasize the importance of timely submissions to avoid penalties, highlighting the responsibility of employers to ensure compliance with tax laws.

The W-2 form, issued by employers to report annual wages and tax withholdings for employees, also bears resemblance to the Massillon Income Tax form. Both documents require accurate reporting of wages subject to taxation and the corresponding amounts withheld. The W-2 is provided to employees for their personal tax filings, while the Massillon form is used for municipal tax obligations. Each document serves as a crucial tool for ensuring that the appropriate taxes are collected and reported correctly.

Lastly, the 1099 form, particularly the 1099-MISC or 1099-NEC, is relevant in this context, as it is used to report payments made to independent contractors or freelancers. While the Massillon Income Tax form focuses on employee wages, the 1099 forms capture non-employee compensation, which can also be subject to municipal taxes. Both forms require accurate reporting of amounts paid and taxes withheld, reinforcing the need for compliance with tax regulations, regardless of the employment classification.

Dos and Don'ts

When filling out the City of Massillon Income Tax form, there are several important dos and don'ts to keep in mind. Following these guidelines can help ensure that your filing is accurate and timely.

  • Do provide accurate information, including your Federal ID number and employer name.
  • Do indicate the correct withholding period by filling in the “for period from” and “to” blocks.
  • Do sign and date the form to validate your submission.
  • Do keep a copy of the completed form for your records.
  • Don't ignore the due dates for filing and payment; late submissions may incur penalties.
  • Don't forget to include an explanation if the tax withheld does not match the expected amount.
  • Don't submit the form without a contact phone number for any follow-up questions.
  • Don't fail to notify the Income Tax Department in writing about any changes to your employer information.

Misconceptions

Understanding the City of Massillon Income Tax form can be challenging. Here are seven common misconceptions that need clarification:

  • All employers must withhold the same amount. This is not true. Employers must withhold municipal income tax based on qualifying wages, which can vary for each employee.
  • Filing deadlines are flexible. In reality, monthly withholding returns are due by the 15th of the following month, and quarterly returns must be submitted by the last day of the month after the quarter ends.
  • Employers receive tax forms in the mail. Employers will not receive separate Returns of Income Tax Withheld in the mail. They must use the forms provided in the booklet.
  • Only employees in Massillon need to have taxes withheld. Any employer doing business in Massillon must withhold taxes from employees, regardless of where the employees live.
  • Late payment penalties are minimal. The penalty for late payment is a one-time 50% penalty on the unpaid balance, which can add up quickly.
  • All wages are subject to municipal income tax. Some wages, such as those from cafeteria plans, are exempt from withholding for municipal income tax purposes.
  • Tax rates change frequently. The tax rate for Massillon is consistently set at 2%, unless otherwise specified, and does not change from year to year.

Being aware of these misconceptions can help ensure compliance and avoid unnecessary penalties. Always refer to the latest guidelines and reach out for assistance if needed.

Key takeaways

Filing the City of Massillon Income Tax form can be straightforward if you keep a few key points in mind. Here are some essential takeaways to ensure you comply with the requirements effectively:

  • Know Your Deadlines: Monthly withholding returns and payments must be submitted by the 15th of the following month. Quarterly returns are due by the last day of the month following the quarter.
  • Understand Withholding Thresholds: If your total withholding exceeded $2,399 last year, or if it exceeds $200 in any month, you must remit monthly.
  • Calculate Penalties: Late payments incur a one-time penalty of 50% on the unpaid balance, plus interest calculated at the federal short-term rate plus 5%.
  • Use the Correct Wage Base: Withhold municipal income tax on "qualifying wages," which include Medicare wages as defined by the IRS.
  • Document Everything: Keep a copy of the completed form for your records and attach any necessary documentation for discrepancies.
  • Notify Changes Promptly: If there are changes to your employer information, notify the Income Tax Department in writing to keep your account updated.
  • File Even if No Employees: If you do not have employees for a reporting period, you still need to submit the form stating this fact.
  • Be Aware of Tax Rates: The tax rate for Massillon is 2%. Ensure that the tax withheld matches this rate to avoid complications.
  • Prepare for Audits: The City audits tax collections regularly. Ensure that your records are accurate and up to date.
  • Seek Assistance When Needed: If you have questions, don’t hesitate to visit the City’s website or call the Income Tax Department for guidance.

By keeping these takeaways in mind, you can navigate the filing process with confidence and ensure compliance with the City of Massillon's income tax regulations. Timely and accurate submissions help support essential city services and avoid unnecessary penalties.